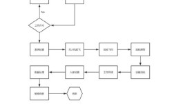
无人机巡检光伏场站完整流程整个流程可以概括为五个核心阶段:准备阶段、执行阶段、数据处理阶段、分析报告阶段、以及后续维护阶段,第一阶段:准备工作这是确保巡检顺利进行和安全高效的基础,至关重要,任务规划与目标设定明确巡检目标:本次巡检的主要目...